LES CLES DU DIMENSIONNEMENT
Ouvrages en commandePhotovoltaïque autonome
Photovoltaïque raccordé au réseau

Formations Professionnelles Photovoltaïques
La notion de confort hygrothermique > Le bilan thermique
La chaleur métabolique produite dans le corps peut être stockée dans celui-ci, induisant une élévation de la température interne, ou dissipée dans l’environnement à travers la surface cutanée et par voie respiratoire. Le bilan thermique du corps s’écrit de la façon suivante :
M - W = QSK + QRES + S
M - W = (C + R + K + ESK) + (CRES + ERES) + SSK + SCR
Avec :
La chaleur produite par le corps est dissipée dans l’environnement à travers la surface cutanée et par voie respiratoire sous forme de chaleur sensible et latente. La convection, le rayonnement et la conduction sont les trois modes d’échange de chaleur sensible à la surface cutanée, la chaleur latente est reprise par évaporation de la sueur à la surface de la peau. La ventilation respiratoire dissipe la chaleur du corps par convection (chaleur sensible) et par évaporation (chaleur latente).M - W = (C + R + K + ESK) + (CRES + ERES) + SSK + SCR
Avec :
- M = taux du métabolisme, W/m²
- W = travail externe, W/m²
- QRES = flux de chaleur échangé par voie respiratoire, W/m²
- QSK = flux de chaleur échangé à la surface cutanée, W/m²
- CRES = flux de chaleur échangé par convection respiratoire, W/m²
- ERES = flux de chaleur échangé par évaporation respiratoire, W/m²
- C = flux de chaleur sensible échangé par convection à la surface du peau, W/m²
- R = flux de chaleur sensible échangé par rayonnement à la surface du peau, W/m²
- K = flux de chaleur sensible échangé par conduction à la surface du peau, W/m²
- ESK = flux de chaleur latente échangé par évaporation à la surface du peau, W/m²
- SCR = taux de chaleur stockée à l’intérieur du corps, W/m²
- SSK = taux de chaleur stockée dans la peau, W/m²
Les flux de chaleur à la surface de la peau sont exprimés en fonction des variables de l’environnement thermique, de la température cutanée et de la mouillure cutanée. Ils sont souvent calculés par unité de surface corporelle (elle est prise égale à 1,8 m² pour une personne standard). Les variables de l’environnement thermique sont la température d’air, la température de rayonnement, la vitesse d’air et l’humidité relative. L’individu est caractérisé par deux variables personnelles : l’activité et la vêture. La vêture est représentée par l’isolation thermique et la perméabilité à la vapeur des vêtements.
La chaleur stockée dans le corps peut être déterminé à partir du taux d’augmentation de l’énergie interne. Elle est exprimée en fonction de la capacité thermique et le taux de changement de la température dans le temps.
Avec :
- α = fraction de la masse corporelle concentrée dans la peau
- m = masse corporelle, kg
- cp,b = chaleur spécifique du corps, kJ/kg.K
- θ = temps, s
La production de chaleur : le métabolisme
La production de l’énergie métabolique, noté M, est le reflet de la vie cellulaire qui résulte de la consommation d’oxygène et du dégagement du gaz carbonique. Cette énergie est dégagée essentiellement sous forme de chaleur. Une partie du métabolisme est utilisée par les muscles pour le travail externe, noté W, qui est défini en fonction du métabolisme par un facteur η, appelé rendement mécanique (W = η.M ; ? n’excède pas 20% et pour les activités classiques de bureau il est pratiquement nul). La chaleur métabolique est alors obtenue en déduisant le travail externe W du taux de métabolisme M.
Le métabolisme total M peut être mesuré expérimentalement à partir du volume d’oxygène consommé. Dans la pratique, il est estimé à partir des tableaux qui donnent le métabolisme en fonction de la description de l’activité ou la tâche. La puissance métabolique est donnée par rapport à la surface corporelle. Elle est exprimée souvent en Met, l’unité de Met est égale à 58.15 W/m² et correspond au métabolisme d’un individu assis au repos.
La norme ISO 8996 [AFNOR, 1990] propose plusieurs méthodes pour déterminer le métabolisme. Ces méthodes sont classées en trois niveaux selon le degré de précision. Le premier niveau correspond à une estimation du métabolisme à partir d’une classification par types d’activité et par profession. Le deuxième niveau correspond à une estimation par les composantes d’activité. Au 3ème niveau le métabolisme est déterminé par mesure directe.
Le métabolisme peut être donc estimé en additionnant les différentes composantes de celui-ci. Il est déterminé analytiquement en additionnant les valeurs suivantes :
M = BM + MP + MW + MM
Avec :
Avec :
- BM = métabolisme basal, W/m²
- MP = composante posturale, W/m²
- MW = composante d’activité, W/m²
- MM = composante de déplacement du corps en fonction de la vitesse, W/m²
Le métabolisme basal est le métabolisme d’une personne couchée au repos dans des conditions définies. C’est la production de chaleur minimale nécessaire aux fonctions vitales de l’organisme. Il dépend du poids, de la taille, de l’âge et du sexe. Ces facteurs ont une influence faible. Des valeurs de 44 W/m² (hommes) et 41 W/m² (femmes) peuvent être utilisées avec une bonne approximation. Ces valeurs sont définies pour une personne standard (1.7m, 70 kg et 35 ans pour les hommes, et 1.6m, 60 kg et 35 ans pour les femmes). Les autres composantes du métabolisme sont données dans des tableaux pour les différentes dispositions.
Enfin, le métabolisme peut être influencé énormément par la thermorégulation. Les frissons peuvent multiplier sa valeur jusqu’à 4 à 5 fois par rapport à une personne qui ne frissonne pas. En plus, la thermorégulation comportementale peut avoir des effets non négligeables dans les conditions chaudes et froides. Dans les situations chaudes, les individus peuvent s’adapter en réduisant la vitesse de leurs mouvements, ceci se traduit par une réduction du métabolisme de près 10 %.
Les échanges de chaleur cutanées
L’écriture mathématique des transferts de chaleur entre le corps humain et son environnement est basée sur une approche mixte analytique/empirique. Les bases de la théorie du transfert de chaleur permettent de décrire les différents mécanismes des échanges de chaleur sensible et latente, alors que les expressions empiriques sont utilisées pour déterminer les valeurs des coefficients d’échange de chaleur. Des expressions empiriques sont aussi utilisées pour décrire les mécanismes de régulation thermophysiologique en fonction de la température interne et la température cutanée.
Les échanges de chaleur sensible
L’échange de chaleur sensible à la surface cutanée passe à travers les vêtements. Cette échange de chaleur peut être considérée en série : (1) l’échange de chaleur de la surface cutanée à la surface externe des vêtements à travers l’épaisseur des vêtements, et (2) l’échange de chaleur de la surface externe des vêtements à l’environnement.
Les trois modes d’échange de chaleur sensible sont la conduction, la convection et le rayonnement. Les échanges par conduction sont souvent négligés comme les zones corporelles concernées sont petites, et quand des parties plus grandes de la surface corporelle sont en contact avec des éléments de mobilier (chaise, fauteuil, canapé, lit) les tissus en contact se mettent rapidement en équilibre et se comportent comme un isolant thermique par rapport à l’ambiance. Les éléments de mobilier sont souvent représentés par une valeur additionnelle sur l’isolation vestimentaire. McCollough a mesuré les valeurs d’isolement thermique dû à la chaise. Il a trouvé des valeurs entre 0.1 et 0.3 clo selon le type de la chaise. L’isolement est d’autant plus important que la surface de contact entre le corps et la chaise est plus grande.
La convection
La convection correspond aux échanges de chaleur entre le corps et l’air entourant. Elle dépend de la différence entre la température de l’air et celle de la surface exposée, peau ou vêtement, en cas de convection naturelle. Si l’air est plus froid, le corps se refroidit par le mouvement de l’air qui se réchauffe au contact du corps et s’élève pour former un contour de panache au dessus de la tête avant d’être dissipé dans l’environnement [Nicol, 1993]. Le mouvement de l’air peut aussi être imposé en cas de convection forcée ou mixte. En plus, il faut prendre en compte le mouvement relatif de l’air par rapport au corps en cas de certaines activités (marche, course,…) qui s’ajoute au mouvement effectif de l’air. Quand l’air est plus chaud que la surface en contact, la convection résulte par un réchauffement du corps.
L’échange convectif dépend de la différence entre la température d’air et celle du corps, peau ou vêtement, et du mouvement de l’air autour du corps. Il est calculé par l’expression suivante.
C = fcl × hc × (tcl – ta)
Avec :
Avec :
- C = flux de chaleur convectif, W/m²
- fcl = facteur d’habillement
- hc = coefficient d’échange convectif, W/m².K
- tcl = température de la surface externe du vêtement, °C
- ta = température d’air, °C
Le facteur fcl est le rapport de la surface vêtue du corps à la surface corporelle, il est égal à 1 pour un sujet nu. Le coefficient d’échange convectif hc dépend du mouvement de l’air effectif autour du corps. Il dépend aussi de la posture et de l’activité. ASHRAE propose plusieurs expressions empiriques pour calculer hc selon différentes configurations (personne assise, debout, en marche dans un air calme ou en mouvement), avec les limites d’application exprimées en terme de vitesse d’air.
Le rayonnement
L’échange radiatif est le mode d’échange de chaleur à distance entre deux corps par ondes électromagnétiques. On distingue deux catégories selon la bande d’émission : les échanges courtes longueurs d’onde (rayonnement solaire) non pris en compte dans les bâtiments, et les échanges grandes longueurs d’onde (rayonnement infrarouge) avec les parois qui entourent le sujet. A la température ambiante (300 K), toutes les surfaces émettent des radiations principalement dans l’infrarouge dont la puissance est proportionnelle à la quatrième puissance de la température absolue de la surface. Ainsi, le corps humain émet en permanence une chaleur radiative liée à sa température cutanée et son émissivité, de même que les parois qui l’entourent. Le flux radiatif échangé par le corps correspond à la différence entre le rayonnement émis par celui-ci et le rayonnement reçu de son environnement. Si le rayonnement reçu par le corps est supérieur à sa propre émission, le corps se réchauffe, et se refroidit dans le cas inverse.
Pour simplifier le calcul du flux radiatif, la température moyenne de rayonnement est utilisée à condition que l’environnement thermique soit homogène. Elle est une moyenne pondérée des températures de surface des parois du local en fonction de leur émissivité et de leurs positions relatives par rapport au sujet. En plus, une approximation linéaire est utilisée pour écrire l’équation du flux radiatif en raison des faibles écarts de température. L’expression est la suivante :
Avec :
- R = flux de chaleur radiatif, W/m²
- fcl = facteur d’habillement
- hr = coefficient d’échange radiatif linéarisé, W/m².K
- tcl = température de la surface externe du vêtement, °C
- tr = température radiante moyenne, °C
- ε = émissivité moyenne du corps
- σ = constante de Stefan-Bolzmann, 5.67×10-8 W/m²K4
- feff = coefficient effectif de surface rayonnante
Le coefficient feff est le rapport entre la surface du corps qui rayonne et la surface corporelle totale. Il joue le rôle d’un facteur de forme et dépend de la posture : 0.70 pour une personne assise et 0.73 pour une personne débout. Quant à l’émissivité, elle est typiquement proche de l’unité.
Dans la plupart des cas, les environnements thermiques dans les bâtiments peuvent être considérés homogènes dans les zones occupées. Mais si l’environnement radiatif est fortement hétérogène (large baie vitrée, panneaux rayonnants), la température moyenne de rayonnement est insuffisante, il faut prendre en compte l’asymétrie de rayonnement.
Les équations du flux convectif et du flux radiatif sont souvent combinées en vue d’exprimer l’échange total de chaleur sensible, par convection et rayonnement, en termes de la température opérative to et le coefficient d’échange de chaleur sensible h.
Avec :
- (C+R) = échange de chaleur sensible cutané, W/m²
- to = Température opérative, °C
- h = coefficient d’échange de chaleur sensible, W/m²K
En considérant le vêtement comme une seule couche à travers laquelle les transferts de chaleur se font uniquement par conduction entre la peau à température tsk et la surface du tissu à température tcl, les transferts de chaleur sensible peuvent être écrits de la façon suivante :
Avec :
- Rcl = résistance thermique vestimentaire, m².K/W
Les échanges de chaleur latente : l’évaporation
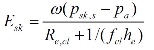
L’évaporation est le mode d’échange de chaleur dû au changement d’état de l’eau. Elle est le moyen essentiel pour évacuer la chaleur dans les ambiances chaudes par évaporation de la sueur à la surface cutanée. Le système de thermorégulation détermine le débit de sueur nécessaire pour conserver l’équilibre thermique du corps. Le phénomène moteur de l’évaporation sur une surface humide est le gradient de pression de vapeur entre la surface cutanée, l’air environnant et la mouillure cutanée.
Avec :
- Esk = échange de chaleur évaporative cutanée, W/m²
- Pa = pression de vapeur d’air, kPa
- Psk,s = pression de vapeur à la surface de la peau, kPa (considérée saturée)
- Re,cl = résistance vestimentaire à l’évaporation, m².kPa/W (similaire à Rcl)
- he = coefficient d’échange de chaleur par évaporation W/m².kPa (similaire à h)
- ω = mouillure cutanée
Le coefficient d’évaporation he peut être calculé à partir du coefficient d’échange convectif hc moyennant la relation de Lewis (he/hc = LR, où LR est le « Lewis ratio », il est approximativement 16,5 °C/kPa pour des conditions intérieures typiques).
La mouillure cutanée est le rapport entre l’évaporation actuelle Esk et l’évaporation maximale possible Emax (obtenu en remplaçant ω par 1 dans l’équation précédente). Elle représente la fraction équivalente de peau mouillée pour obtenir l’évaporation observée (pour ω=1 la peau est complètement mouillée). La mouillure cutanée dépend de la production de sueur qui est déterminée par le système de thermorégulation. D’ailleurs elle n’est jamais nulle, il y a toujours une diffusion de l’eau à travers les cellules cutanées. Il s’agit de perspiration insensible, elle vaut 6% de l’évaporation maximale.
Les échanges de chaleur par respiration
Pendant la respiration, le corps échange de la chaleur sensible et latente, par convection et évaporation, avec l’air inhalé. A la sortie des poumons, l’air expiré est à une température proche de la température interne du corps, et il est presque saturé. La respiration s’accompagne ainsi d’un transfert de chaleur et de masse. Ces échanges dépendent des différences de température et d’humidité entre l’air expiré et l’air ambiant, et du débit ventilatoire. L’ASHRAE donne l’équation suivante pour calculer les échanges respiratoires :
Cres + Eres = 0,0014.M.(texp – ta) + 0,0173.M.(Pexp – Pa)
Avec :
Avec :
- Cres = flux de chaleur par convection respiratoire, W/m²
- Eres = flux de chaleur par évaporation respiratoire, W/m²
- M = production de chaleur métabolique, W/m²
- texp = température de l'air expiré, °C (~34 °C)
- ta = température d’air, °C
- Pexp = pression de vapeur d'eau dans l'air expiré, kPa (5,87 kPa à 34°C)
- Pa = pression de vapeur d'eau dans l'air, kPa