LES CLES DU DIMENSIONNEMENT
Ouvrages en commandePhotovoltaïque autonome
Photovoltaïque raccordé au réseau

Formations Professionnelles Photovoltaïques
Détermination des épaisseurs des vitrages > Vitrages d'aquarium ou hublots de piscine
Les dalles d’aquarium ou de piscine en verre sont soumises à des charges hydrostatiques, augmentées éventuellement de charges uniformément réparties. Elles sont considérées comme des éléments de remplissage. En conséquence, elles ne doivent pas subir de déformations dues aux mouvements de la structure ou du sol.
Nature des produits verriers
Les dalles d’aquarium en verre sont réalisées en verre monolithique recuit ou durci, ou en verre feuilleté à plusieurs composants de même épaisseur. Les produits verriers sont en verre clair ou coloré.
Les composants des dalles feuilletées, participant à la reprise des charges, présentent tous des performances mécaniques identiques. Dans le cas contraire, l’épaisseur de la dalle est calculée avec la contrainte admissible du composant le moins performant.
Les dalles sont toujours façonnées (chant meulé, plat mat).
Les intercalaires des feuilletés sont en PVB, cependant ceux-ci ne sont pas considérés comme participant à la reprise des charges.
Sécurité
L’épaisseur des dalles d’aquarium est calculée avec un facteur de sécurité de l’ordre de 3,5. Ce facteur de sécurité tient compte de la permanence des charges avec un coefficient de “fatigue” minorateur.
⇒ Verre monolithique durci
En cas de casse accidentelle, dès que le verre est brisé, le bassin va se vider plus ou moins rapidement selon la nature de la casse. Il en résultera, sinon des blessures, des dégâts matériels plus ou moins importants selon le volume de ce bassin.
Il est formellement déconseillé d’utiliser ce type de vitrage pour des bassins de contenance supérieure à 1 000 litres (1 m3). En aucun cas, ces bassins ne pourront recevoir une quelconque présence humaine.
⇒ Verre monolithique trempé
L’usage du verre monolithique trempé en aquariophilie est fortement déconseillé car, en cas de bris, il y a disparition complète et instantanée de la paroi et création d’une vague dévastatrice.
⇒ Verre feuilleté recuit, durci ou trempé
En cas de bris accidentel d’un des composants du feuilleté, le facteur de sécurité subsistant est encore suffisant pour assurer une sécurité temporaire permettant d’évacuer le public, sauver la flore et la faune avant de vider le bassin et de procéder au remplacement de la dalle sinistrée.
Contraintes admissibles
Les contraintes admissibles à prendre en considération tiennent compte de la permanence des charges.
| Type de vitrage | Contrainte admissible σ en MPa (N/mm²) |
|---|---|
| Verre recuit | 6 |
| SGG PLANIDUR | 12 |
| SGG SECURIT | 30 |
| SGG SECURIPOINT | 50 |
Flèches admissibles
La flèche au centre du volume verrier, sous charge de service, n’excédera pas 1/200 de la plus petite dimension.
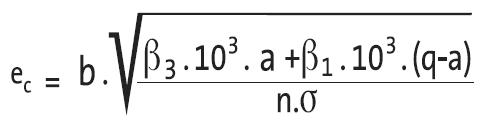
Méthode de calcul
L’épaisseur de la dalle de verre est fonction :
- de la hauteur d’eau ;
- du nombre d’appuis ;
- n = nombre de composants du feuilleté, n = 1 pour un verre monolithique ;
- en = épaisseur nominale d’un des composants (mm). Tous les composants ont la même épaisseur ;
- β1, β2, β3, β4 = coefficients de Timoshenko dépendant du rapport Longueur/largeur ;
- q = hauteur d’eau mesurée à la base du clair de vue de la dalle (m) ;
- a = hauteur de la dalle (dimension du clair de vue en m);
- b = longueur de la dalle (dimension du clair de vue en m);
- σ = contrainte admissible en MPa (N/mm2).
- au centre de la dalle pour les cas où la hauteur d’eau est supérieure à la hauteur du vitrage ;
- à l’endroit où la flèche est maximale quand la hauteur d’eau est égale à la hauteur du vitrage ;
- f = flèche maximale ou flèche au centre de la dalle (m) ;
- α1, α2, α3, α4 = coefficients de Timoshenko dépendant du rapport Longueur/largeur.
| Dalle rectangulaire verticale en appui sur 4 côtés Dalle plus large que haute télécharger les valeurs des coefficients α et β pour le calcul des flèches |
||
|---|---|---|
Hauteur d'eau supérieure à la hauteur du vitrage
|
Epaisseur d'un composant![]() Flèche maximale de la dalle
|
|
Hauteur d'eau inférieure à la hauteur du vitrage*
|
Epaisseur d'un composant![]() Flèche maximale de la dalle
|
|
| Dalle rectangulaire verticale en appui sur 4 côtés Dalle plus haute que large télécharger les valeurs des coefficients α et β pour le calcul des flèches |
||
|---|---|---|
Hauteur d'eau supérieure à la hauteur du vitrage
|
Epaisseur d'un composant![]() Flèche maximale de la dalle
|
|
Hauteur d'eau inférieure à la hauteur du vitrage*
|
Epaisseur d'un composant![]() Flèche maximale de la dalle
|
|
| Dalle de fond rectangulaire | |
|---|---|
![]() a<b |
Epaisseur d'un composant![]() Flèche maximale de la dalle
|
| Dalle rectangulaire verticale en appui sur 3 côtés* télécharger les valeurs des coefficients α et β pour le calcul des flèches |
|
|---|---|
|
Epaisseur d'un composant![]() Flèche maximale de la dalle
|
| * Dans ce cas, les calculs sont effectués comme si la hauteur d’eau était au moins égale à la hauteur du vitrage | |
Détermination de l’épaisseur commerciale du feuilleté ef
Soit ec l'épaisseur commerciale, alors :
ef > ec avec : ef = en x n
L’épaisseur de l’intercalaire est négligée.
Recommandations particulières
Les vitrages devront être exempts d’amorce de rupture. Les dalles rayées ou écaillées ne devront pas être utilisées. En cas de rayure après pose, notamment sur la face en extension, côté public, il est fortement recommandé de remplacer ces vitrages sans attendre.






