LES CLES DU DIMENSIONNEMENT
Ouvrages en commandePhotovoltaïque autonome
Photovoltaïque raccordé au réseau

Formations Professionnelles Photovoltaïques
Diffusion spectrale du rayonnement solaire
Contrairement au phénomène d’absorption sélectif sur le plan spectral (bandes et raies d’absorption), le phénomène de diffusion est une fonction continue des longueurs d’onde.
Lorsqu’une onde électromagnétique percute une molécule, une partie de l’énergie incidente est déviée dans toutes les directions et définit le rayonnement diffusé.
Cette diffusion est exprimée par l’équation de diffusion de Maxwell et trouve une solution simple pour les molécules sphériques de dimensions bien inférieures à celle des longueurs d’onde incidentes. Il s’agit de la diffusion de Rayleigh (du nom du physicien du 19ème siècle qui solutionna l’équation à l’aide de ces hypothèses). La théorie de Rayleigh s’applique fort bien aux molécules d’air, mais l’hypothèse n’est plus respectée (ni les résultats observés) dans le cas des particules d’aérosols et d’eau.
C’est au début du 20ème siècle que l’équation de Maxwell fut solutionnée par Gustave Mie dont le nom sera repris pour la théorie de diffusion sur les molécules en général. La théorie de Rayleigh en est un cas particulier, mais sa forte simplicité est néanmoins appréciable pour traiter les phénomènes de diffusion sur les molécules d’air.
Diffusion sur les molécules d’air
La théorie de Rayleigh est assez complexe, mais il m’a semblé intéressant de la développer en raison de l’aspect physique qu’elle renferme. En outre, son impact sur les molécules d’air explique la couleur bleue du ciel et ainsi les fortes températures de couleur proximales du rayonnement en provenance de la zone opposée au soleil. Cette théorie s’applique en considérant une radiation électromagnétique incidente sur une particule sphérique et isotropique (c’est-à-dire ayant une réaction uniforme dans l’espace). Ce rayon induit un champ électrique qui peut être modélisé comme un dipôle électrique en raison de la faible taille de la particule. Le champ électrique propre de la molécule d’air interagit avec le champ électrique du dipôle, au-dedans et à proximité de la molécule. Un phénomène de polarisation apparaît, donnant naissance à un nouveau moment dipôlaire c’est-à-dire à un nouveau rayonnement (il s’agit précisément du rayonnement diffusé). Considérant un rayon solaire d’intensité I0 et monochromatique de longueur d’onde λ, α la polarisabilité de la particule atmosphérique (c’est-à-dire sa capacité à être polarisée par un champ électromagnétique), r la distance entre les deux dipôles (molécule et rayon), alors l’intensité diffusée dans la direction θ par rapport à la direction de propagation du rayonnement incident est donnée par la formule originale de Rayleigh :
Ceci indique que le rayonnement diffusé est :
- proportionnel au rayonnement incident,
- inversement proportionnel au carré de la distance entre la particule et le point du rayon considéré,
- symétrique autour de l’axe que constitue le rayonnement incident,
- symétrique par rapport au plan normal du rayonnement, et par conséquent il y a autant de diffusion dans le sens du rayonnement incident («foward scattering») que dans le sens opposé («backward scattering» ou «backscattering»).

Figure I-27 : L’indicatrice obtenue par la modélisation de Rayleigh est symétrique dans l’axe de direction. De plus, autant d’énergie est transmise (en avant) que réfléchie (en arrière). Cette représentatation ne tient pas compte de valeurs numériques calculées mais n’est qu’un schéma donné à titre indicatif.
À ces deux facteurs s’ajoute le caractère des molécules d’air à être polarisées. Le principe de dispersion des ondes électromagnétiques donne :
Avec :
- Ns étant le nombre total de molécules par unité de volume,
-
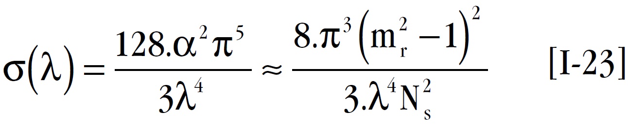
m(λ) est l’indice spectral de réfraction des molécules. C’est un indice avec une partie réelle mr et une partie imaginaire mi (m=mr+i.mi), correspondant respectivement aux propriétés de diffusion et d’absorption des particules. D’après Liou, en ce qui concerne le spectre solaire considéré, les particules d’air sont caractérisées par mr proche de 1 et mi quasiment nulle, ce qui confirme également que le rayonnement absorbé par les molécules d’air soit négligeable. En conséquence, on a :
Le flux d’énergie f diffusé par une molécule à une distance r d’un dipôle se définit comme l’intégration de la densité de flux diffusé (IxΩO est diffusé dans r²δΩ) dans le volume environnant (Ω) :
En outre, on a f0=I(λ)0×ΔΩ, où f0 représente la densité de flux incident sur la molécule.
Donc, si l’on s’intéresse à la partie d’énergie diffusée par un rayonnement à proximité d’une molécule, on peut définir un coefficient spectral de diffusion de cette façon :
D’après ce qui précède on a alors :
Si l’on considère l’anisotropie des propriétés moléculaires (l’hypothèse de départ était précisément de prendre une molécule isotropique), Liou propose de prendre en compte un coefficient correcteur relatif f(δ) :
où f(δ) est le facteur anisotropique des molécules d’air étant δ=0,0035.
Finalement, le coefficient spectral d’atténuation au travers de l’atmosphère s’exprime ainsi :
N(Z) étant la densité moléculaire à l’altitude Z du site d’observation et zt étant la hauteur de la couche atmosphérique supérieure.
Pratiquement :
- zt est remplacé par un paramètre appelé hauteur de l’atmosphère de Rayleigh dont la valeur sous des conditions standard de température est de 8434 m,
- N[cm-3] est relié à la densité ρ[g.cm-3] à l’aide du poids moléculaire moyen de l’air M=28,97 g molécule et le nombre d’Avogadro N0=6,02295.1023/molécule par la relation ρ=(M/N0)N.

Figure I-28 : La diffusion de Rayleigh agit essentiellement dans les faibles longueurs d’onde. Dans le domaine du visible, les formules d’atténuation de Bird et d’Iqbal sont satisfaisantes
La diffusion du rayonnement solaire sur les molécules d’air a un impact majeur sur le rayonnement provenant du ciel diffus (c’est-à-dire, de la voûte céleste réduite de la zone circumsolaire).
Diffusion sur les aérosols et la vapeur d’eau
La diffusion due aux aérosols et à la vapeur d’eau ne suit plus la loi de Rayleigh en raison de la taille plus importante de ces molécules. Mie a proposé une solution aux équations de Maxwell sans l’hypothèse des particules de petites tailles comme l’avait fait Rayleigh.
Le processus physique qu’il traduit est plus complexe que celui décrit pour la théorie de Rayleigh, mais les principes fondamentaux de moments dipolaires restent inchangés. Je ne souhaite donc pas rentrer dans les détails mais présenter simplement les caractéristiques majeures. Il faut signaler en premier lieu que la taille des particules est très variée, d’autant plus qu’elle peut différer selon l’humidité. Les fréquents phénomènes de condensation entraînent un accroissement des dimensions des particules selon qu’elles sont entourées d’eau ou non. Par ailleurs, les molécules d’eau s’assemblent souvent en gouttelettes dont la taille est bien supérieure à celle des molécules initiales. En outre, la forme des particules d’aérosols est très variée, trop complexe pour modéliser les phénomènes de diffusion particuliers. Nature, forme, taille, distributions des aérosols ne sont pas mesurées régulièrement dans l’atmosphère. Ainsi, il est pratique de généraliser une théorie qui ne prend en compte que la taille moyenne des particules et leur quantité.
En nous référant à l’équation [I-17] donnant l’intensité de l’énergie I(θ,λ) diffusée selon la théorie de Rayleigh, nous pouvons dire que dans le cas de la diffusion de Mie,
-
la distribution spatiale de l’énergie diffusée n’est plus régie par une expression en cos²(θ) mais par une série de polynômes de Legendre. Pour les aérosols, l’indicatrice suit davantage une forme de type exp(-θ). Il en résulte que l’indicatrice de l’intensité diffuse n’est plus symétrique par rapport au plan normal du rayon incident, mais connaît un pic majeur dans le sens de transmission et plusieurs pics mineurs dans le reste des directions. Les deux indicatrices ci-dessous sont des exemples de diffusion de Mie.

Figure I-29 : Indicatrices de diffusion de Mie sur des particules de moyenne et grande taille
- I(λ) est davantage proportionnel à λ-p, p étant compris généralement entre 0 et 4 selon la taille des particules en général
λ en µm.
α dépend de la taille moyenne des particules atmosphériques. Il décroît avec leur diamètre, de 4 (particules très fines comme les molécules de l’air sec) à 0 (très larges particules). En général α a une valeur comprise entre 0,5 et 2,5.
β représente la quantité de particules présentes dans une colonne verticale : il est appelé le facteur de trouble d’Angström en l’honneur de son créateur. La valeur varie entre 0,0 et 0,5, voire davantage. La référence en climat tempéré urbain est de 0,10 et celle en environnement industriel est de 0,20.

Figure I-30 : La teneur et la taille en aérosols agissent sur l’absorption spectrale comme le mettent en évidence ces deux graphes établis d’après la formule théorique d’atténuation d’Angström
Rappelons que les valeurs de α et β fluctuent d’heure en heure, de saison en saison. En effet, et à titre d’exemple, toute précipitation a un impact immédiat sur la teneur en aérosols dans l’atmosphère (le ciel est en quelque sorte nettoyé de ses poussières). De même, toute variation de température entraîne une modification de l’évaporation et de la condensation sur les particules atmosphériques.